Упр.10.8 ГДЗ Мордковича 11 класс профильный уровень (Алгебра)
Решение #1
Решение #2(записки учителя)
Решение #3(записки школьника)

Рассмотрим вариант решения задания из учебника Мордкович, Семенов 11 класс, Мнемозина:
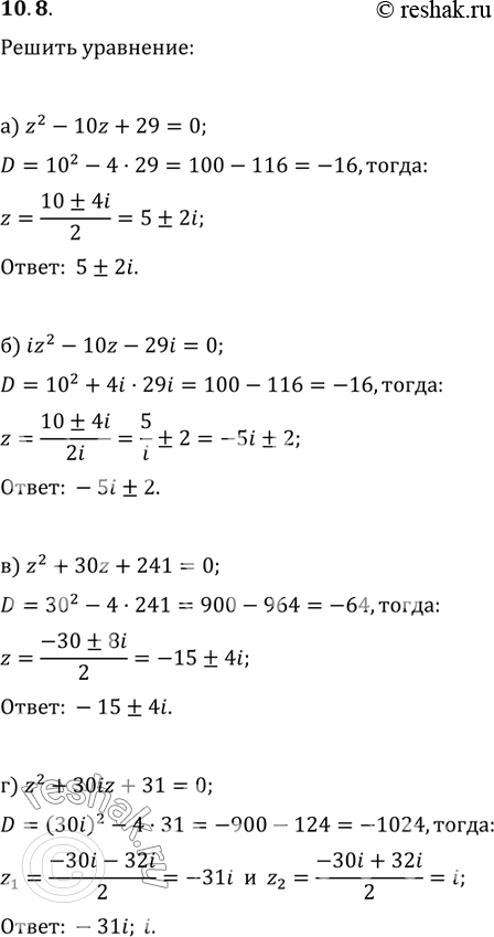
10.8. Решите уравнение:
а) z2 - 10z + 29 = 0; в) z2 + 30z + 241 = 0;
б) iz2 - 10z - 29i = 0; r) z2 + 30iz + 31 = 0.
*размещая тексты в комментариях ниже, вы автоматически соглашаетесь с пользовательским соглашением