Упр.54 ГДЗ Колягин Ткачёва 11 класс (Алгебра)
Решение #1
Решение #2

Рассмотрим вариант решения задания из учебника Колягин, Ткачёва, Фёдорова 11 класс, Просвещение:
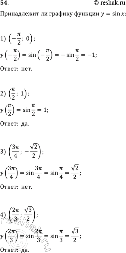
54. Выяснить, принадлежат ли графику функции y = sin х точки с координатами:
1) (-пи/2;0);
2) (пи/2;1);
3) (3пи/4; - корень 2);
4) (2пи/3; корень 3/2).
*размещая тексты в комментариях ниже, вы автоматически соглашаетесь с пользовательским соглашением