Упр.483 ГДЗ Муравин 7 класс (Алгебра)
Решение #1

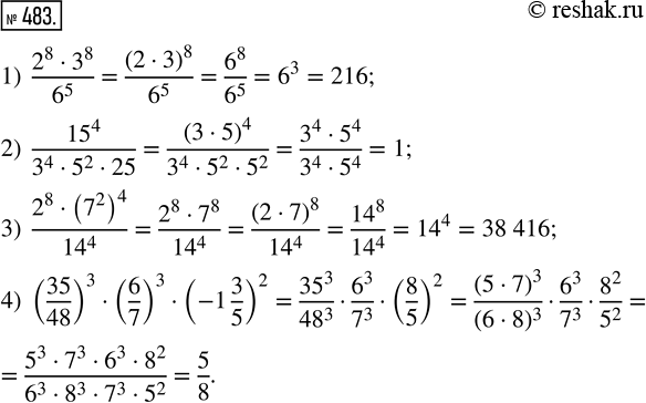
Рассмотрим вариант решения задания из учебника Муравин, Муравина 7 класс, Дрофа:
483. Упростите и вычислите:
1) (2^8 · 3^8)/6^5; 3) (2^8 · (7^2)^4)/14^4;
2) 15^4/(3^4 · 5^2 · 25); 4) (35/48)^3 · (6/7)^3 · (-1 3/5)^2.
*размещая тексты в комментариях ниже, вы автоматически соглашаетесь с пользовательским соглашением