Упр.45 ГДЗ Муравин 7 класс (Алгебра)
Решение #1

Рассмотрим вариант решения задания из учебника Муравин, Муравина 7 класс, Дрофа:
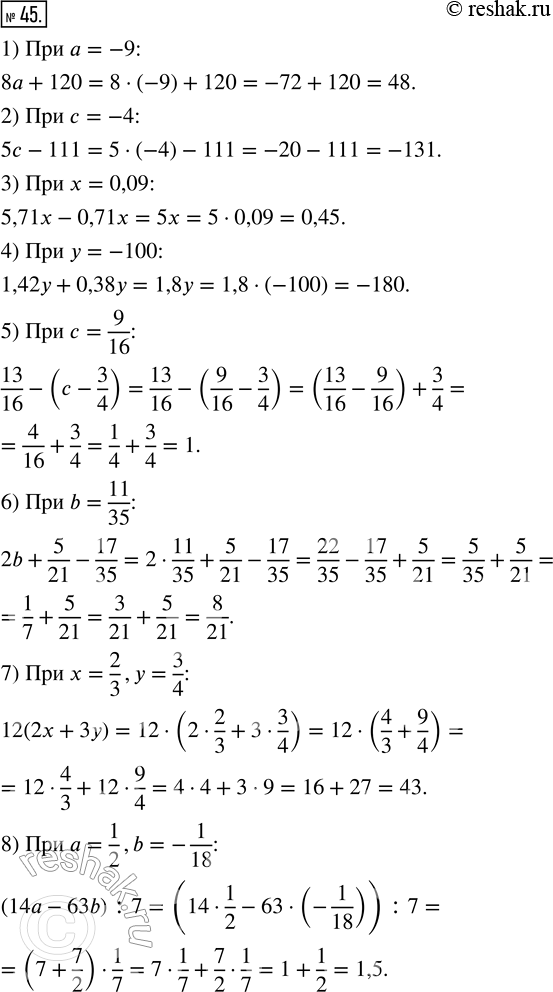
45. Найдите значение выражения:
1) 8a + 120 при a = -9;
2) 5c - 111 при c = -4;
3) 5,71x - 0,71x при x = 0,09;
4) 1,42y + 0,38y при y = -100;
5) 13/16 - (c - 3/4) при c = 9/16;
6) 2b + 5/21 - 17/35 при b = 11/35;
7) 12(2x + 3y) при x = 2/3, y = 3/4;
8) (14a - 63b) : 7 при a = 1/2, b = -1/18.
*размещая тексты в комментариях ниже, вы автоматически соглашаетесь с пользовательским соглашением