Упр.387 ГДЗ Колягин Ткачёва 11 класс (Алгебра)
Решение #1
Решение #2

Рассмотрим вариант решения задания из учебника Колягин, Ткачёва, Фёдорова 11 класс, Просвещение:
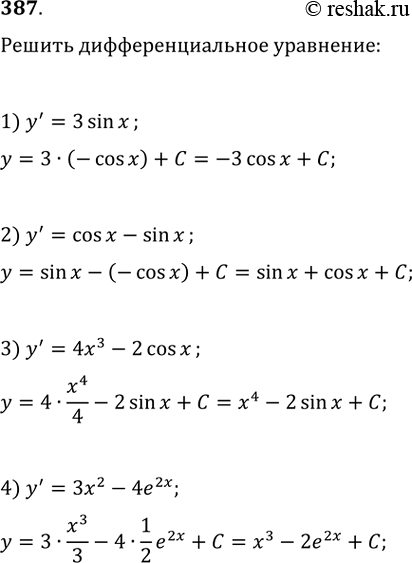
387J 1) y’ = 3sinx;
2) у’ = cosx - sinx;
3) y' = 4x3 - 2cosx;
4) y'= 3x2-4e2x.
*размещая тексты в комментариях ниже, вы автоматически соглашаетесь с пользовательским соглашением