Упр.239 ГДЗ Муравин 7 класс (Алгебра)
Решение #1

Рассмотрим вариант решения задания из учебника Муравин, Муравина 7 класс, Дрофа:
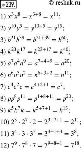
239. Представьте произведение степеней в виде степени:
1) x^3 x^8; 4) k^23 k^17; 7) c^4 c^2 c; 10) 2^3 · 2^7 · 2;
2) y^10 y^5; 5) a^7 a^4 a^9; 8) pp^8 p^11; 11) 3^4 · 3 · 3^3;
3) b^21 b^39; 6) n^6 n^3 n^2; 9) k^5 k^7 k; 12) 7^9 · 7^8 · 7.
*размещая тексты в комментариях ниже, вы автоматически соглашаетесь с пользовательским соглашением