Упр.209 ГДЗ Колягин Ткачёва 11 класс (Алгебра)
Решение #1
Решение #2

Рассмотрим вариант решения задания из учебника Колягин, Ткачёва, Фёдорова 11 класс, Просвещение:
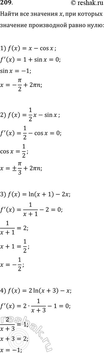
209. Найти значения х, при которых значение производной функции f(x) равно 0, если:
1) f(x) = x-cosx;
2) f(x) = 1/2*х - sinx;
3) f(x) = ln(x + 1) - 2x;
4) f(x) = 2ln(x + 3) - x;
5) f(x) = 2x + 2^-x;
6) f(x) = 32x - 2xln3;
7) f(x) = 21n(x + 3) - x;
8) f(x) = x + ln(2x + 1).
*размещая тексты в комментариях ниже, вы автоматически соглашаетесь с пользовательским соглашением