Упр.198 ГДЗ Колягин Ткачёва 11 класс (Алгебра)
Решение #1
Решение #2

Рассмотрим вариант решения задания из учебника Колягин, Ткачёва, Фёдорова 11 класс, Просвещение:
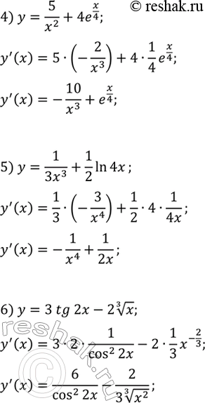
198. 1) 6х4 - 9е3х;
2) 1/4*x8 + 3sin3x;
3) 3 корень 3 степени x -4cos4x;
4) 5/x2 + 4e^пи/4
5) 1/3x3 + 1/2*ln4x;
6) 3tg2x - 2 корень 3 степени x.
*размещая тексты в комментариях ниже, вы автоматически соглашаетесь с пользовательским соглашением