Упр.144 ГДЗ Колягин Ткачёва 11 класс (Алгебра)
Решение #1
Решение #2

Рассмотрим вариант решения задания из учебника Колягин, Ткачёва, Фёдорова 11 класс, Просвещение:
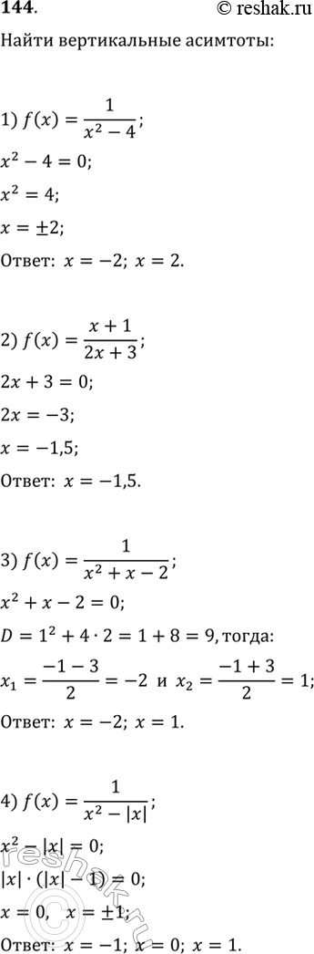
144. Найти вертикальные асимптоты графика функции:
1) f(x) =1/x2-4;
2) f(x) = x+1/2x+3;
3) f(x) = 1/x2+x-2;
4) f(x) = 1/x2- |x|.
*размещая тексты в комментариях ниже, вы автоматически соглашаетесь с пользовательским соглашением